본문 바로가기 주메뉴 바로가기
이 누리집은 대한민국 공식 전자정부 누리집입니다.

알림마당

공지사항

대표포털 > 행정알림 > 공지사항(전 부서 공통) 게시글 상세 보기

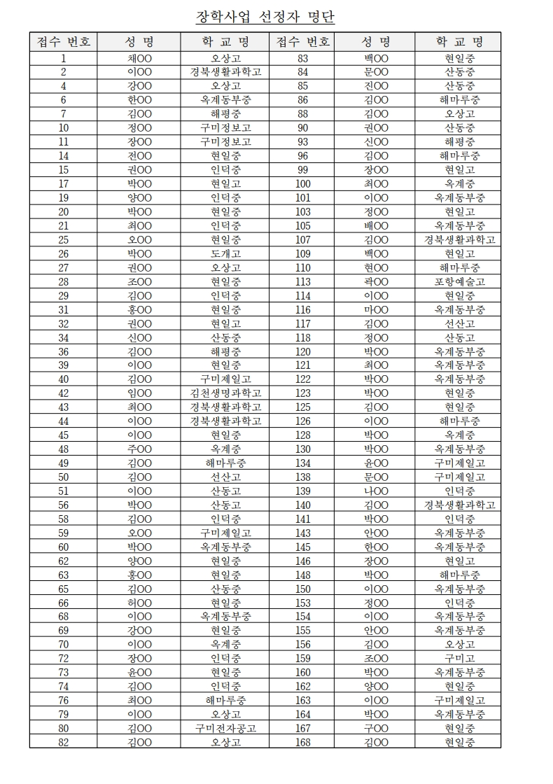
2025년 구미천연가스발전소 장학금 대상자 선정 결과
  • 작성자 산동읍 (054-480-7207)
  • 등록일 2025-12-08(Mon)
  • 조회 74
  • 분류 모집ㆍ지원

한국서부발전에서 25. 11. 12. ~ 11. 21.(10일간) 진행한 '발전소주변지역 주민 자녀에 대한 장학 지원사업' 대상자가 아래와 같이 결정되어 게시합니다.

 

공공누리 제1유형: 출처표시(상업적 이용 및 변경 가능)

본 공공저작물은 "공공누리" 제1유형:출처 표시 조건에 따라 이용할 수 있습니다.

페이지 만족도

이 페이지에서 제공하는 정보에 대해 만족하십니까?

위로 이동